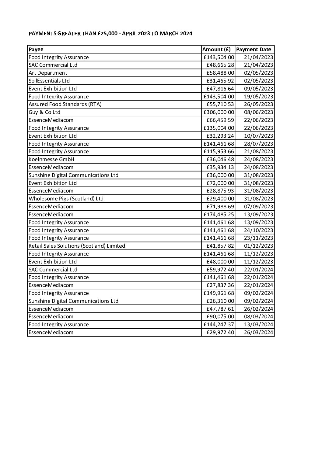
News & Resources QMS Publications News & Resources Documents Search Looking Glass Document Type All Document Types Board Minutes & Papers Briefing Fact Sheets Market Updates Publications Standards Template Tenders Toolkits Category All Categories Annual Review Business Plan Consumer Insights Report Exports Industry Livestock + Market Report Market Update The Cut – Magazine View Save PDF 20250317 QMS Job Advert Community Engagement Coordinator NS View Save PDF 20250317 QMS Job Advert Community Engagement Coordinator NS View Save PDF 20250120 How the Scheme works v1rev5 January 25 View Save PDF 20250120 Membership Rules January 25 View Save PDF Monitor Farm Specialist Support Procurement Framework April 25 March 27 1 View Save PDF Public Relations Expenditure April 2023 March 2024 View Save PDF Payments over 25 K April 2023 to March 2024 View Save PDF Hospitality and Entertainment Costs April 2023 to March 2024 View Save PDF Overseas Travel Costs April 2023 to March 2024 View Save PDF External Consultancy costs April 2023 to March 2024 View Save PDF 20250311 QMS CS 2025 Group Application Form v01 View Save PDF 20250311 QMS CS 2025 Application Form v01 Previous 10 of 55 1 … 9 10 11 … 55 Next